贵州成人高考网,主要为贵州考生提供报考咨询服务的网站,所有报考信息以贵州省招生考试院发布的公告为准。

咨询电话:400-0929-629/RSS导航 /网站导航
成考专题:

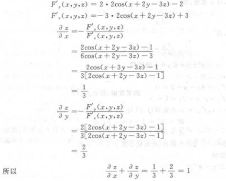
2022年贵州成考专升本《高数二》预习试题及答案十

发布时间:2022-07-29整理编辑:贵州成考网

2022年贵州成考专升本《高数二》预习试题及答案十

2022年贵州成考专升本《高数二》预习试题及答案十

2022年贵州成考专升本《高数二》预习试题及答案十

2022年贵州成考专升本《高数二》预习试题及答案十

2022年贵州成考专升本《高数二》预习试题及答案十

2022年贵州成考专升本《高数二》预习试题及答案十

2022年贵州成考专升本《高数二》预习试题及答案十

本文标签:贵州成考 高等数学二 2022年贵州成考专升本《高数二》预习试题及答案十

转载请注明:文章转载自(http://www.ckw.gz.cn/

本文地址:http://www.ckw.gz.cn/mnst-gdsxe/24159.html


小编提示:添加【贵州成考网】招生老师微信,即可了解2025年贵州成考政策资讯成考报名入口准考证打印入口成绩查询时间以及领取历年真题资料个人专属备考方案等相关信息!

贵州成考网招生老师微信
(添加“贵州成考网”招生老师微信,在线咨询报名报考等相关问题)

【免责声明】

  • 1、由于各方面情况的调整与变化,本网提供的考试信息仅供参考,考试信息以省考试院及院校官方发布的信息为准。
  • 2、本网信息来源为其他媒体的稿件转载,免费转载出于非商业性学习目的,版权归原作者所有,如有内容与版权问题等请与本站联系。联系邮箱:952056566@qq.com

贵州成考考试服务

距2025年成人高考考试还有

考试时间:10月18日-19日
进入成考报名系统 进入成绩查询系统

贵州成考在线客服

扫一扫 添加老师

对成考有疑惑?在线老师随时解惑

贵州成考报考服务